What You Will Find Here

Practical notes for learners, educators, engineers, and biologists focused on understanding fundamentals and applying them clearly.

  • Computer engineering and digital systems concepts
  • Assembly-level reasoning and debugging workflows
  • Computational thinking across disciplines
  • Computational Biology
  • Genetics, Molecular Biology, Biochemistry, and Genomics
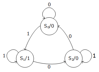
State machine diagram

Blog

Assembly, digital logic, and practical computer science concepts.

Read Posts

Word cloud for teaching, engineering, and computational biology

About

Teaching philosophy, research interests, and contact information.

Learn More

Latest Post

Every high-traffic API eventually hits the same wall: the database can’t keep up. The usual first instinct is to throw more hardware at it — but a well-placed cache is…

Read Latest